There is a simple deformation of Alan Schoen’s F-RD surface that changes the height of the the box over a square that bounds a fundamental piece of the surface.

These surfaces maintain the order 4 rotation about a vertical axis, with the quotient being a rectangular torus, on which the Gauss map G4(z) has the following divisor:

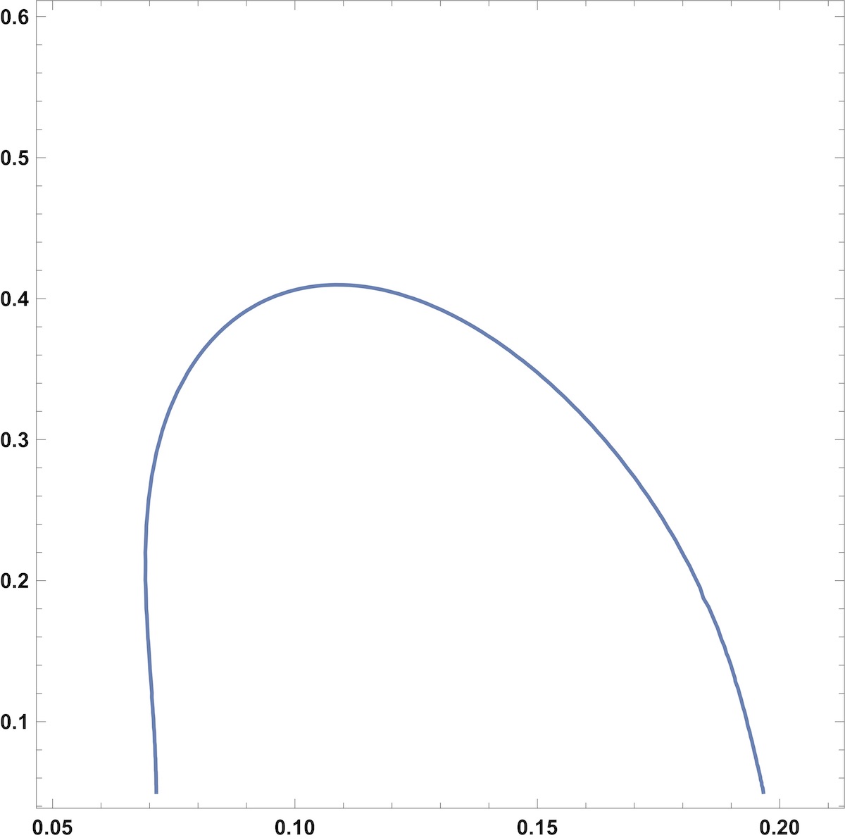
Here a+a’=1/2=b+b’ and additionally 2a+3b=1 to satisfy Abel. Thus there are two parameters, a and τ, and one period condition to solve. The solution set in the a-Im(τ) plane is shown below.

The two limits both occur when τ becomes small. They are both nodal limits:
The images show 8 copies of a fundamental piece in each case (for a=0.07 and a=0.19, respectively). The left has twice as many nodal planes as the left, so in between some folding has to happen. This also teaches us that a surface family can have differently many nodal planes in different limits.
Resources
Mathematica Notebook
PoVRay Sources

