This surface was discovered in 1855 by Eugène Charles Catalan before the advent of the Enneper-Weierstrass representation.

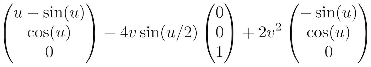
Catalan emphasizes that the surface contains a cycloid as a planar symmetry curve and (yellow) parabolas as cross sections, which is apparent from the explicit formula

It is now easy to construct such a surface using Hermann Amandus Schwarz solution to the Björling problem. That starting with a planar curve and a normal perpendicular to curve and plane one obtains a minimal surface with simple planar cross sections appears to be a curiosity, though.
The Enneper-Weierstrass data of the quotient of Catalan’s surface by its translation are given by
$math G(z) = z \qquad dh = \frac{z^2_+1}{z^2}\, dz$
and show that the surface has singularities corresponding to i and -i. One also sees that the quotient has two ends asymptotic to a periodic Enneper end.
Resources
E. Catalan: Mémoire sur les surfaces dont les rayons de courbures en chaque point, sont égaux et les signes contraires, Comptes Rendus Acad. Sci. Paris 4 (1855), 1019-1023
Mathematica Notebook
PoVRay Source